(M)AN(C)OVA presentation

Learn what (M)AN(C)OVA is and how to run the analysis in R

1 ANOVA: general logic

1.1 ANOVA purpose

ANOVA compares the distribution of values on a quantitative variable (central tendency, dispersion) for different sub-populations (different categories of the categorical independent variable)

Regression analysis: “The bigger X, the bigger Y”

  • Relationships between two variables
  • Metric independent variables
  • Useful to evaluate survey data

Analysis of variance: “More in group A than in group B”

  • Differences between two or more groups
  • Categorical independent variables
  • Useful for evaluating experimental data

1.2 Same logic: general linear model and F-test

Regression: The quality of the model results from the deviation of the individual values from the regression line

ANOVA: Model quality results from the deviation of the individual values from the group mean

If you want to compare the means of two groups, you can do a t-test.

If you want to compare the means of more than two groups, one would have to compare each group with each other.

2 Error components

2.1 Variation between and within groups

To see if the two variables are independent or if there is a relationship between them, we compare:

  • variation between groups (central tendency: averages)
  • variation within groups (dispersion: standard deviation)

There is a relationship between two variables when the different groups are distinct and homogeneous.

2.2 Variance decomposition

2.3 Total sum of squares (TSS)

The total amount of variation within our data is the difference between each observed data point (\(\hat{y}_{ij}\)) and the grand mean (\(\hat{y}_{Grand}\)). We then square these differences and add them together to give us the total sum of squares (TSS).

\[ TSS = \sum{(\hat{y}_{ij} - \hat{y}_{Grand})^2} \]

2.4 Model sum of squares (MSS)

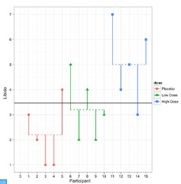
The model sum of squares (MSS) requires us to calculate the differences between each participant’s predicted value (\(\hat{y}_j\)) and the grand mean (\(\hat{y}_{Grand}\)). It is the sum of the squared distances between what the model predicts for each data point (i.e., the dotted horizontal line for the group to which the data point belongs) and the overall mean of the data (the solid horizontal line).

\[ MSS = \sum{n_j(\hat{y}_j - \hat{y}_{Grand})^2} \]

2.5 Residual sum of squares (SSE)

The final sum of squares is the residual sum of squares (SSE), which tells us how much of the variation cannot be explained by the model. The simplest way to calculate SSE is to subtract MSS from TSS. It is calculated by looking at the difference between the score obtained by a person and the mean of the group to which the person belongs.

\[ SSE = \sum{(y_{ij} - \hat{y}_i)^2} \]

2.6 Mean Squares (MS)

Sum of squares depend on the number of groups and the number of cases per group. MS are variances calculated by dividing the SS by the corresponding number of degrees of freedom.

  • Model Mean Sum of Squares: \(MS_M = \frac{MSS}{df_M}\), \(df_M = k-1\).
  • Mean sum of squares of the residuals: \(MS_R = \frac{RSS}{df_R}\), \(df_R = k(n_j-1) = n-k\).

The test variable \(F_{Ratio}\) is calculated from MS: \(F = \frac{MS_M}{MS_R}\).

3 ANOVA: statistical significance and strength of the relationship

4 Hypothesis test

  • Determine the statistical significance of the relationship (generalization to the population):

    • H0: the two variables are independent
    • H1: the two variables are dependent

Acceptance of H0 if p-value > 0.05 and of H1 if p-value < 0.05.

4.1 Strength of the relationship

  • Determine the strength of the relationship between the variables using the measure of association Eta (\(\eta\)):

    • 0 = perfect independence
    • 1 = perfect association
  • \(\eta^2\) informs us about the explanatory power of the model. It can be interpreted as the percentage of the variance of the DV explained by the IV.

4.2 Effect size: \(\eta^2\) and \(R^2\)

\(\eta^2\) is a measure of effect size that is commonly used in ANOVA models. It measures the proportion of variance associated with each main effect and interaction effect in an ANOVA model.

\[ \eta^2 =\frac{SS_{effect}}{SS_{total}} \]

where \(SS_{effect}\) is the sum of squares of an effect for one variable and \(SS_{total}\) is the total sum of squares in the ANOVA model.

The value for \(\eta2\) ranges from 0 to 1, where values closer to 1 indicate a higher proportion of variance that can be explained by a given variable in the model.

\(R^2\) gives the effect size of the entire model: proportion of variance (TSS) that can be explained by the model (MSS).

\[ R^2 = \frac{MSS_{overall}}{TSS} \]

5 Empirical exemple in R

5.1 Example

Let’s prepare data to investigate whether the campaigning budget varies significantly across parties:

db <- foreign::read.spss(file=paste0(getwd(),
                "/data/1186_Selects2019_CandidateSurvey_Data_v1.1.0.sav"),
                use.value.labels = T, 
                to.data.frame = T)
sel <- db |>
  dplyr::select(B12,T9a) |>
  stats::na.omit() |>
  dplyr::rename("budget"="B12", "party_list"="T9a") |>
  plyr::mutate(budget=as.numeric(as.character(budget))) |>
  plyr::mutate(party_list=as.factor(party_list))
# filter candidates with maximally a budget of 100'000
boxplot(sel$budget)
sel <- sel[sel$budget<=100000,]

5.2 Group means (and sd)

sel |> dplyr::group_by(party_list) |>
  dplyr::summarise(dplyr::across(.cols = budget,
                                 list(n = length, 
                                      mean = mean, 
                                      sd = sd)))
# A tibble: 8 × 4
  party_list                                    budget_n budget_mean budget_sd
  <fct>                                            <int>       <dbl>     <dbl>
1 FDP/PLR - The Liberals                             186      13059.    21762.
2 CVP/PDC - Christian Democratic People's Party      319       5467.    12962.
3 SP/PS - Social Democratic Party                    285       5626.    11580.
4 SVP/UDC - Swiss People's Party                     170       6711.    15477.
5 GPS/PES - Green Party                              246       4357.    10970.
6 GLP/PVL - Green Liberal Party                      223       4297.    10668.
7 Other party                                        438       3534.     9455.
8 No party                                            23       5113.    12066.

5.3 Recoding

Let’s recode the parties into fewer categories:

sel$party_list <- gsub(" -.*","",sel$party_list)
sel$lcr <- ifelse(sel$party_list=="SP/PS" |
                    sel$party_list=="GPS/PES", "left", NA)
sel$lcr <- ifelse(sel$party_list=="GLP/PVL" |
                    sel$party_list=="CVP/PDC", "center", as.character(sel$lcr))
sel$lcr <- ifelse(sel$party_list=="SVP/UDC" |
                    sel$party_list=="FDP/PLR", "right", as.character(sel$lcr))
table(sel$lcr)

center   left  right 
   542    531    356 

5.4 ANOVA and Eta

anova_fit <- aov(budget ~ lcr, data=sel)
summary(anova_fit)
              Df    Sum Sq   Mean Sq F value   Pr(>F)    
lcr            2 6.726e+09 3.363e+09   17.23 4.03e-08 ***
Residuals   1426 2.783e+11 1.952e+08                     
---
Signif. codes:  0 '***' 0.001 '**' 0.01 '*' 0.05 '.' 0.1 ' ' 1
461 observations deleted due to missingness
lsr::etaSquared(anova_fit)
        eta.sq eta.sq.part
lcr 0.02359677  0.02359677
  • The p-value associated with the F-test is statistically significant (<0.05). Thus, there is a difference in the campaign budget between the different groups.
  • The independent variable (party_list) explains 2.3% of the variance of the dependent variable (budget).
  • A significant p-value implies that some of the group means are different in a one-way ANOVA test. But we don’t know which pairs of groups are different.

5.5 Multiple pairwise comparisons

We can compute Tukey Honest Significant Differences for doing numerous pairwise comparisons between the means of groups because the ANOVA test is significant.

TukeyHSD(anova_fit)
  Tukey multiple comparisons of means
    95% family-wise confidence level

Fit: aov(formula = budget ~ lcr, data = sel)

$lcr
                  diff       lwr      upr     p adj
left-center    51.8473 -1949.525 2053.220 0.9979654
right-center 5041.6591  2805.573 7277.745 0.0000004
right-left   4989.8118  2744.563 7235.061 0.0000006

6 Assumptions

6.1 Variance homogeneity

To assume that the variances are homogeneous, there should be no clear correlations between residuals and fitted values (the mean of each group) in the plot below.

plot(anova_fit, 1)

Levene’s test is recommended since it is not very sensitive to deviations from normal distribution. If the p-value is less than the significance level of 0.05, it indicates that the variance across groups is statistically significant.

car::leveneTest(sel$budget, sel$party_list, data=sel)
Levene's Test for Homogeneity of Variance (center = median: sel)
        Df F value    Pr(>F)    
group    7  9.8826 3.696e-12 ***
      1882                      
---
Signif. codes:  0 '***' 0.001 '**' 0.01 '*' 0.05 '.' 0.1 ' ' 1

An alternative approach (e.g., the Welch one-way test) does not necessitate the use of equal variance assumptions (in R: oneway.test() and pairwise.t.test())

6.2 Normality

We can infer normality if all of the points lie roughly along this reference line.

plot(anova_fit, 2)

Run Shapiro-Wilk test on the ANOVA residuals. If the p-value is <0.05, it suggests that there is evidence of normality violation.

aov_residuals <- residuals(object = anova_fit)
shapiro.test(x = aov_residuals )

    Shapiro-Wilk normality test

data:  aov_residuals
W = 0.53433, p-value < 2.2e-16

The Kruskal-Wallis rank-sum test is a non-parametric alternative to one-way ANOVA that can be employed when the ANOVA assumptions are not met (in R: kruskal.test()).

7 Interaction hypothesis

7.1 Effect of two or more factors

To compare the influence of several different factors, it is necessary to test the interaction hypotheses: influence of a factor depending on one or more other factors (A and B).

  • \(MSS_A\): Calculation with the groups of the factor A (we pretend that B does not exist)
  • \(MSS_B\): Calculation with the groups of the factor B (we pretend that A does not exist)
  • \(MSS_{AB}\): \(MSS-MSS_A-MSS_B\) indicates what the model can explain beyond factors A and B.

7.2 F score for multiple factors

A separate F is used for each factor and interaction term:

  • Factor A: \(F = \frac{MS_{MA}}{MS_R}\)
  • Factor B: \(F = \frac{MS_{MB}}{MS_R}\)
  • Interaction AxB: \(F = \frac{MS_{MAB}}{MS_R}\)

7.3 Effect size: \(R^2\) and partial \(\eta^2\)

\(R^2\) gives the effect size of the entire model: proportion of variance (TSS) that can be explained by the model (MSS).

\[ R^2 = \frac{MSS_{overall}}{TSS} \]

Partial \(\eta^2\) is the respective effect size of the individual factors: reflect the proportion of the variance (TSS) that can be explained by the respective factors or interaction terms (SS effect).

  • \(\eta^2\) for factor A: \(\frac{SS_A}{TSS}\)
  • \(\eta^2\) for factor B: \(\frac{SS_B}{TSS}\)
  • \(\eta^2\) for interaction AxB: \(\frac{SS_{AB}}{TSS}\)

The value for \(\eta^2_{partial}\) ranges from 0 to 1, where values closer to 1 indicate a higher proportion of variance explained by a given variable in the model after accounting for variance explained by other variables in the model.

8 Types of interaction

8.1 Typology

There exist different types of interaction:

The original figure can be found here.

  • null interaction: effects of factor A on the dependent variable are therefore the same at all stages of the factor B (parallel lines)
  • ordinal interaction: effects of A are not the same at all factor levels of B (lines do not run parallel but do not cross)
  • disordinal interaction: crossing lines (any main effects that may be present must not be interpreted)
  • semi-disordinal: crossing lines or lines that do not cross (only one of the main effects that may be present may be interpreted)

9 Empirical exemple in R

9.1 Example

Let’s prepare data to investigate whether intention to participate in election depends on news consumption and party closeness:

db <- foreign::read.spss(file=paste0(getwd(),
                "/data/1184_Selects2019_Panel_Data_v4.0.sav"), 
                use.value.labels = T, 
                to.data.frame = T)
sel <- db |>
  dplyr::select(W1_f13400a, W1_f13400b,
                W1_f13400c, W1_f13400d,
                W1_f13400e, W1_f13400f,
                W1_f14000,
                W1_f10800) |>
  stats::na.omit() |>
  dplyr::rename("particip"="W1_f10800", 
                "party"="W1_f14000") |>
  plyr::mutate(particip=as.numeric(particip))
sel$particip <- (sel$particip-5)*(-1) # reverse the scale

9.2 Create score of political news attention

sel$newsatt <- (((as.numeric(sel$W1_f13400a)-5)*(-1))+
  ((as.numeric(sel$W1_f13400b)-5)*(-1))+
  ((as.numeric(sel$W1_f13400c)-5)*(-1))+
  ((as.numeric(sel$W1_f13400d)-5)*(-1))+
  ((as.numeric(sel$W1_f13400e)-5)*(-1))+
  ((as.numeric(sel$W1_f13400f)-5)*(-1)))/6
boxplot(sel$newsatt)

# recode into 'high', 'medium' and 'low'
sel$newsatt_r = NA
sel$newsatt_r <- ifelse((sel$newsatt>=1.5 &
sel$newsatt<=2.5), "2. medium", 
as.character(sel$newsatt_r))
sel$newsatt_r <- ifelse((sel$newsatt<1.5 &
is.na(sel$newsatt_r)), "1. low", 
as.character(sel$newsatt_r))
sel$newsatt_r <- ifelse((sel$newsatt>2.5 &
is.na(sel$newsatt_r)), "3. high", 
as.character(sel$newsatt_r))
table(sel$newsatt_r)

   1. low 2. medium   3. high 
      738      4791      1091 

9.3 Example of ordinal interaction

The main effects and the interaction effect are significant:

res.aov <- aov(particip ~ newsatt_r * party, 
data = sel)
summary(res.aov)
                  Df Sum Sq Mean Sq F value   Pr(>F)    
newsatt_r          2    445  222.50 427.550  < 2e-16 ***
party              1    237  237.16 455.717  < 2e-16 ***
newsatt_r:party    2      8    4.01   7.698 0.000458 ***
Residuals       6614   3442    0.52                     
---
Signif. codes:  0 '***' 0.001 '**' 0.01 '*' 0.05 '.' 0.1 ' ' 1
interaction.plot(
  x.factor = sel$newsatt_r,
  trace.factor = sel$party,
  response = sel$particip,
  fun = mean,
  ylab = "Intention to take part in national election",
  xlab = "News attention",
  trace.label = "Party closeness",
  col = c("blue", "red")
)

10 Quiz

10.1 Can I answer these questions?

True or false?

Score:

11 ANCOVA

11.1 ANCOVA: definition and application

  • ANCOVA is an analysis of covariance.
  • It is used to measure the main effect and interaction effects of categorical variables on a continuous dependent variable while controlling the effects of selected other continuous variables which co-varies with the dependent variable.

Example: What is the effect of political affiliation on campaign budget while controlling for age of the candidate?

11.2 ANCOVA logic

11.3 Usefulness of covariate(s)

Covariates help us with reducing unexplained variance and within-group variance (SSE).

The effect of the factors on the dependent variable can thus be determined more accurately (MSS).

This improves the explanatory power of the overall model (\(R^2\)).

The explanatory power of the factors (\(\eta^2\)) also improves.

11.4 Disadvantages

The strict cause-and-effect logic of an experimental design does not apply to covariates.

Futhermore, covariates must have a measurement (and they must be scale).

Moreover, one can never include all relevant covariates.

Note: We lose one degree of freedom of the residuals per covariate (SSE).

11.5 ANCOVA assumptions

  • Assumption 1: Linearity between the covariate and the dependent variable at each level of the grouping variable.
  • Assumption 2: Homogeneity of regression slopes: the slopes of the regression lines, formed by the covariate and the dependent variable, should be the same for each group.
  • Assumption 3: The dependent variable should be approximately normally distributed.
  • Assumption 4: Homoscedasticity or homogeneity of variance of residuals for all groups.
  • Assumption 5: There should be no significant outliers within groups.

12 Empirical example in R

12.1 Example

library(foreign)
db <- read.spss(file=paste0(getwd(),
                "/data/1186_Selects2019_CandidateSurvey_Data_v1.1.0.sav"), 
                use.value.labels = T, 
                to.data.frame = T)
sel <- db |>
  dplyr::select(B12,T9a,E2a) |>
  stats::na.omit() |>
  dplyr::rename("budget"="B12", "party_list"="T9a", "age"="E2a") |>
  plyr::mutate(budget=as.numeric(as.character(budget))) |>
  plyr::mutate(party_list=as.factor(party_list))
sel$party_list <- gsub(" -.*","",sel$party_list)
sel$party_list <- as.factor(sel$party_list)
# filter candidates with maximally a budget of 100'000
sel <- sel[sel$budget<=100000,]
# recode the party affiliation into left-center-right 
sel$lcr <-  NA
sel$lcr <- ifelse(sel$party_list=="SP/PS" | sel$party_list=="GPS/PES", "left", as.character(sel$lcr))
sel$lcr <- ifelse(sel$party_list=="CVP/PDC" | sel$party_list=="GLP/PVL", "center", as.character(sel$lcr))
sel$lcr <- ifelse(sel$party_list=="FDP/PLR" | sel$party_list=="SVP/UDC", "right", as.character(sel$lcr))
sel$lcr <- as.factor(sel$lcr)
sel <- sel[!is.na(sel$lcr),] # remove the remaining categories

12.2 Independence of observations & Homogeneity of variance

If the p-value is >0.05, the covariate and the categorical variable are independent to each other.

assump1 <- aov(age ~ lcr, data = sel)
summary(assump1)
              Df Sum Sq Mean Sq F value Pr(>F)  
lcr            2   1662   831.2   3.211 0.0406 *
Residuals   1426 369136   258.9                 
---
Signif. codes:  0 '***' 0.001 '**' 0.01 '*' 0.05 '.' 0.1 ' ' 1

If the p-value is <0.05, it indicates that the variances among the groups are not equal and suggests the need to transform the covariate for the equal group variance.

car::leveneTest(budget ~ lcr, data = sel)
Levene's Test for Homogeneity of Variance (center = median)
        Df F value    Pr(>F)    
group    2  16.064 1.262e-07 ***
      1426                      
---
Signif. codes:  0 '***' 0.001 '**' 0.01 '*' 0.05 '.' 0.1 ' ' 1

12.3 ANCOVA

Then, we can build the ANCOVA model:

library(car)
ancova_model <- aov(budget ~ lcr + age, data = sel)
Anova(ancova_model, type="III")
Anova Table (Type III tests)

Response: budget
                Sum Sq   Df F value    Pr(>F)    
(Intercept) 4.9416e+07    1  0.2588     0.611    
lcr         7.4906e+09    2 19.6174 3.940e-09 ***
age         6.2711e+09    1 32.8474 1.215e-08 ***
Residuals   2.7206e+11 1425                      
---
Signif. codes:  0 '***' 0.001 '**' 0.01 '*' 0.05 '.' 0.1 ' ' 1

Interpretation: While controlling age, the party affiliation variable is still statistically significant. It indicates that party affiliation significantly contributes to the model.

12.4 Multiple comparisons

Now, we want to know which political affiliation are different from each other. Therefore, we can compute multiple comparisons to see which differences are statistically significant:

library(multcomp)
postHocs <- glht(ancova_model, linfct = mcp(lcr = "Tukey"))
summary(postHocs)

     Simultaneous Tests for General Linear Hypotheses

Multiple Comparisons of Means: Tukey Contrasts


Fit: aov(formula = budget ~ lcr + age, data = sel)

Linear Hypotheses:
                    Estimate Std. Error t value Pr(>|t|)    
left - center == 0     212.0      844.1   0.251    0.966    
right - center == 0   5403.6      944.7   5.720   <1e-05 ***
right - left == 0     5191.6      947.1   5.481   <1e-05 ***
---
Signif. codes:  0 '***' 0.001 '**' 0.01 '*' 0.05 '.' 0.1 ' ' 1
(Adjusted p values reported -- single-step method)

13 Quiz

13.1 Can I answer these questions?

True or false?

Score:

14 MANOVA

14.1 MANOVA: definition and application

  • MANOVA stands for Multivariate Analysis Of Variance.
  • It includes at least two dependent variables to analyze differences between multiple groups (factors) of the independent variable.
  • The null and alternative hypotheses read as follows:
    • H0: Group mean vectors are the same for all groups or they don’t differ significantly.
    • H1: At least one of the group mean vectors is different from the rest.

14.2 Model assumptions

  • Assumption 1: Independence of observations
  • Assumption 2: Homogeneity of variance
  • Assumption 3: Multivariate normality (for each combination of independent or dependent variables)
  • Assumption 4: Linearity between the dependent variables and each group of the independent variable
  • Assumption 5: No multicollinearity between the dependent variables
  • Assumption 6: No outliers in the dependent variables

15 Empirical example in R

15.1 Example

Example: What is the effect of political affiliation on campaign budget and on the reliance of traditional channels of communication?

library(foreign)
db <- read.spss(file=paste0(getwd(),
                  "/data/1186_Selects2019_CandidateSurvey_Data_v1.1.0.sav"),
                use.value.labels = T, 
                to.data.frame = T)
sel <- db |>
  dplyr::select(B12,T9a,B4a,B4b,B4c,B4d,B4e,B4g,B4i,B4j) |>
  stats::na.omit() |>
  dplyr::rename("budget"="B12", "party_list"="T9a") |>
  plyr::mutate(budget=as.numeric(as.character(budget))) |>
  plyr::mutate(party_list=as.factor(party_list))

15.2 Recode and subset the data

# create media score
sel <- sel |>
  plyr::mutate(B4a=as.numeric(B4a)) |>
  plyr::mutate(B4b=as.numeric(B4b)) |>
  plyr::mutate(B4c=as.numeric(B4c)) |>
  plyr::mutate(B4d=as.numeric(B4d)) |>
  plyr::mutate(B4e=as.numeric(B4e)) |>
  plyr::mutate(B4g=as.numeric(B4g)) |>
  plyr::mutate(B4i=as.numeric(B4i)) |>
  plyr::mutate(B4j=as.numeric(B4j)) |>
  plyr::mutate(tradcom = (B4a+B4b+B4c+B4d+B4e+B4g+B4i+B4j)/8)
# recode party affiliation
sel$party_list <- gsub(" -.*","",sel$party_list)
sel$party_list <- as.factor(sel$party_list)
sel$lcr <-  NA
sel$lcr <- ifelse(sel$party_list=="SP/PS" | sel$party_list=="GPS/PES", "left", as.character(sel$lcr))
sel$lcr <- ifelse(sel$party_list=="CVP/PDC" | sel$party_list=="GLP/PVL","center", as.character(sel$lcr))
sel$lcr <- ifelse(sel$party_list=="FDP/PLR" | sel$party_list=="SVP/UDC", "right", as.character(sel$lcr))
sel$lcr <- as.factor(sel$lcr)
# keep only the relevant columns
sel <- sel |>
  dplyr::select(budget, lcr, tradcom) |>
  stats::na.omit()
# filter candidates with maximally a budget of 100'000
sel <- sel[sel$budget<=100000,]

15.3 Independence of observations

  • Independence suggests that the data, collected from a representative and randomly selected portion of the total population, should be independent.
  • The assumption of independence is most often verified based on the design of the experiment.
  • If observations between samples are dependent (e.g., several measurements collected on the same individuals), the repeated measures ANOVA should be preferred in order to take into account the dependency between the samples.

15.4 Homogeneity of variance

If the p-value is <0.05, it indicates that the variances among the groups are not equal.

sel |>
  tidyr::gather(key = "variable", value = "value", budget, tradcom) |>
  dplyr::group_by(variable) |>
  rstatix::levene_test(value ~ lcr)
# A tibble: 2 × 5
  variable   df1   df2 statistic          p
  <chr>    <int> <int>     <dbl>      <dbl>
1 budget       2  1359     13.9  0.00000103
2 tradcom      2  1359      1.81 0.164     

15.5 Multivariate normality

The normality assumption can be checked by computing Shapiro-Wilk test for each outcome variable at each level of the grouping variable (the p-value should be >0.05).

sel |>
  dplyr::group_by(lcr) |>
  rstatix::shapiro_test(budget,tradcom) |>
  dplyr::arrange(variable)
# A tibble: 6 × 4
  lcr    variable statistic        p
  <fct>  <chr>        <dbl>    <dbl>
1 center budget       0.436 2.26e-37
2 left   budget       0.479 5.69e-36
3 right  budget       0.551 2.59e-28
4 center tradcom      0.965 8.63e-10
5 left   tradcom      0.975 9.61e- 8
6 right  tradcom      0.968 9.72e- 7

15.6 Linearity

The pairwise relationship between the dependent variables should be linear for each group. This can be checked visually by creating a scatter plot matrix.

library(GGally)
sel$id <- NULL
results <- sel |>
  dplyr::group_by(lcr) |>
  rstatix::doo(~ggpairs(.) + theme_bw(), result = "plots")
results$plots[[1]] # plot for the center
# results$plots[[2]] # for the left
# results$plots[[3]] # for the right

15.7 No multicollinearity between the dependent variables

The correlation between the dependent variables should be moderate. However, if the correlation is too low, you should consider running separate one-way ANOVA for each outcome variable.

sel |> rstatix::cor_test(budget, tradcom)
# A tibble: 1 × 8
  var1   var2      cor statistic        p conf.low conf.high method 
  <chr>  <chr>   <dbl>     <dbl>    <dbl>    <dbl>     <dbl> <chr>  
1 budget tradcom  0.32      12.3 3.57e-33    0.268     0.364 Pearson

15.8 No outliers in the dependent variables

Pay attention to points that have an unusual combination of values on the dependent variables.

sel$id <- seq(1:nrow(sel))
outliers = sel |>
  dplyr::group_by(lcr) |>
  rstatix ::mahalanobis_distance(-id) |>
  dplyr::filter(is.outlier == TRUE)
head(outliers)
# A tibble: 6 × 5
  budget tradcom    id mahal.dist is.outlier
   <dbl>   <dbl> <int>      <dbl> <lgl>     
1  80000    3.12     3       26.5 TRUE      
2  70000    2.5     36       20.6 TRUE      
3  80000    3       59       26.6 TRUE      
4  70000    2.62   200       20.3 TRUE      
5  70000    1.75   201       23.9 TRUE      
6  70000    2      205       22.5 TRUE      

15.9 MANOVA

library(car)
model <- lm(cbind(budget, tradcom) ~ lcr, sel)
Manova(model, test.statistic = "Pillai") # or Wilks

Type II MANOVA Tests: Pillai test statistic
    Df test stat approx F num Df den Df    Pr(>F)    
lcr  2  0.035195   12.172      4   2718 8.275e-10 ***
---
Signif. codes:  0 '***' 0.001 '**' 0.01 '*' 0.05 '.' 0.1 ' ' 1

Interpretation: There is a statistically significant difference between the independent variable on the combined dependent variables.

15.10 Follow-up

  • A statistically significant one-way MANOVA can be followed up by univariate one-way ANOVA examining, separately, each dependent variable.
  • anova_test(): when normality and homogeneity of variance assumptions are met
  • welch_anova_test(): when the homogeneity of variance assumption is violated
  • kruskal_test(): a non parametric alternative of one-way ANOVA test

15.11 Multiple comparisons

  • tukey_hsd(): can be used to compute Tukey post-hoc tests if the homogeneity of variance assumption is met
  • games_howell_test(): can be used if there is a violation of the assumption of homogeneity of variances
  • pairwise_t_test(): also possible with the option pool.sd = FALSE and var.equal = FALSE
res <- sel |>
  rstatix::gather(key = "variables", value = "value", budget, tradcom) |>
  dplyr::group_by(variables) |>
  rstatix::games_howell_test(value ~ lcr) |>
  dplyr::select(-estimate, -conf.low, -conf.high) 
res
# A tibble: 6 × 6
  variables .y.   group1 group2     p.adj p.adj.signif
  <chr>     <chr> <chr>  <chr>      <dbl> <chr>       
1 budget    value center left   0.999     ns          
2 budget    value center right  0.000184  ***         
3 budget    value left   right  0.000174  ***         
4 tradcom   value center left   0.0000668 ****        
5 tradcom   value center right  0.008     **          
6 tradcom   value left   right  0.82      ns          

16 Quiz

16.1 Can I answer these questions?

True or false?

Score: